当社は、本日開催の取締役会において、会社法第236条、第238条および第240条に基づき、当社の取締役(社外取締役を除く)、執行役員、専任役員、役員待遇に対し、株式報酬型ストックオプションとして発行する新株予約権の募集事項等を決議いたしましたので、下記のとおりお知らせいたします。
記
| 当社取締役 | 7名 | 121個 |
|---|---|---|
| 当社執行役員 | 21名 | 136個 |
| 当社専任役員 | 18名 | 129個 |
| 当社役員待遇 | 15名 | 75個 |
461個
当社普通株式 4万6,100株とする。
各新株予約権の目的である株式の数(以下、付与株式数という)は100株とする。
ただし、新株予約権を割り当てる日(以下、割当日という)以降、当社が株式分割(普通株式の無償割当てを含む。以下、株式分割の記載につき同じ)または株式併合を行う場合、付与株式数は、次の算式により調整され、調整の結果生じる1株未満の端数は切り捨てる。
調整後付与株式数 = 調整前付与株式数 × 株式分割または株式併合の比率
また、割当日後に、当社が合併、会社分割、株式交換または株式移転を行う場合、株式の無償割当てを行う場合その他付与株式数の調整を必要とする場合には、必要かつ合理的な範囲で付与株式数を適切に調整する。
2019年7月12日
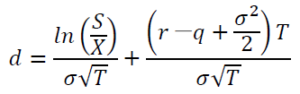
各新株予約権の払込金額は、次式のブラック・ショールズ・モデルにより以下のⅱからⅶの基礎数値に基づき算定した1株当たりのオプション価格(1円未満の端数は四捨五入)に付与株式数を乗じた金額とする。

ここで

2019年7月12日
2022年7月13日から2034年7月12日まで。
各新株予約権の行使に際して出資される財産の価額は、各新株予約権を行使することにより交付を受けることができる株式1株あたり1円とし、これに付与株式数を乗じた金額とする。
新株予約権の行使により株式を発行する場合において増加する資本金の額は、会社計算規則第17条第1項に従い算出される資本金等増加限度額の2分の1の金額とし、計算の結果1円未満の端数を生ずる場合、その端数を切り上げる。残額は資本準備金に組み入れるものとする。
新株予約権者に交付する株式の数に1株に満たない端数がある場合には、これを切り捨てるものとする。
譲渡による新株予約権の取得については、取締役会の決議による承認を要するものとする。
当社が、合併(当社が合併により消滅する場合に限る)、吸収分割、新設分割、株式交換または株式移転(以上を総称して、以下、組織再編行為という)をする場合において、組織再編行為の効力発生の時点において残存する新株予約権(以下、残存新株予約権という)の新株予約権者に対し、それぞれの場合につき、会社法第236条第1項第8号のイからホまでに掲げる株式会社(以下、再編対象会社という)の新株予約権を以下の条件に基づきそれぞれ交付することとする。この場合においては、残存新株予約権は消滅し、再編対象会社は新株予約権を新たに発行するものとする。ただし、以下の条件に沿って再編対象会社の新株予約権を交付する旨を、吸収合併契約、新設合併契約、吸収分割契約、新設分割計画、株式交換契約または株式移転計画において定めた場合に限るものとする。
株式会社三井住友銀行 大阪本店営業部
本新株予約権の目的である株式は、「社債、株式等の振替に関する法律」の適用がある。
以上
ニュースリリースに掲載されている情報は、発表日現在のものです。
予告なしに変更されることがありますので、あらかじめご了承ください。